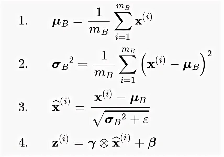
Вектор входных значений