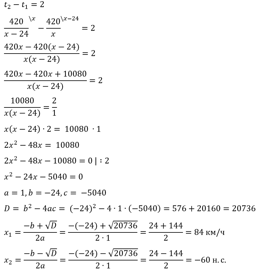
Вариант 8 огэ математика 2025 ященко решение