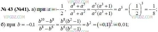
Вариант 43 задание 9