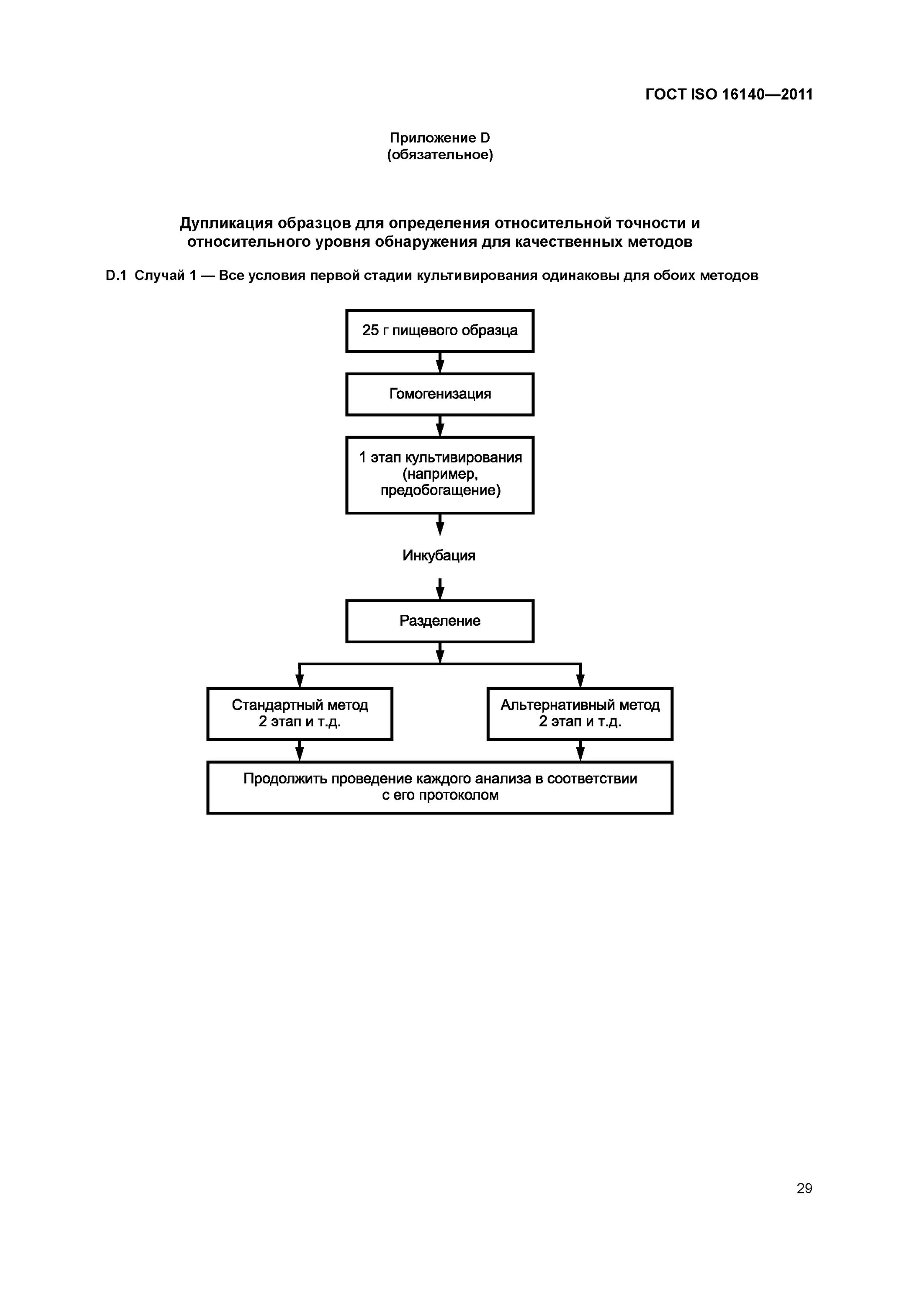
Валидация микробиологических