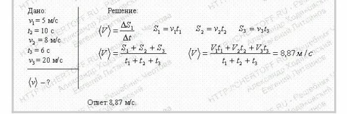
V1 t1 v2 t1