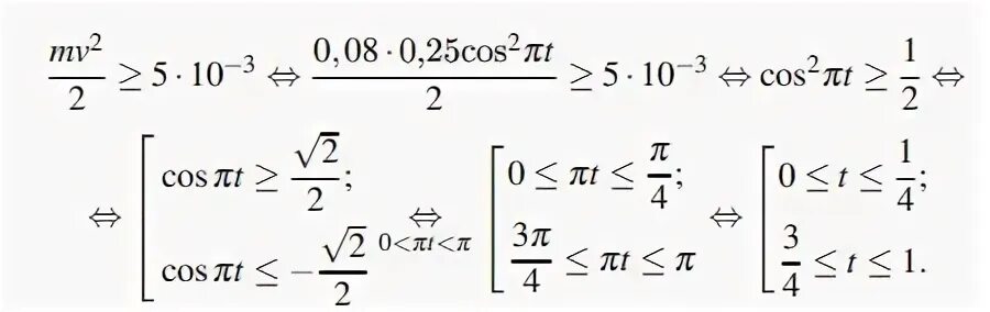
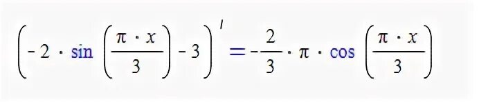
V v0 sin 2пt t