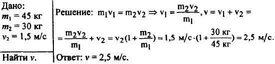
V v 2 90 найти v