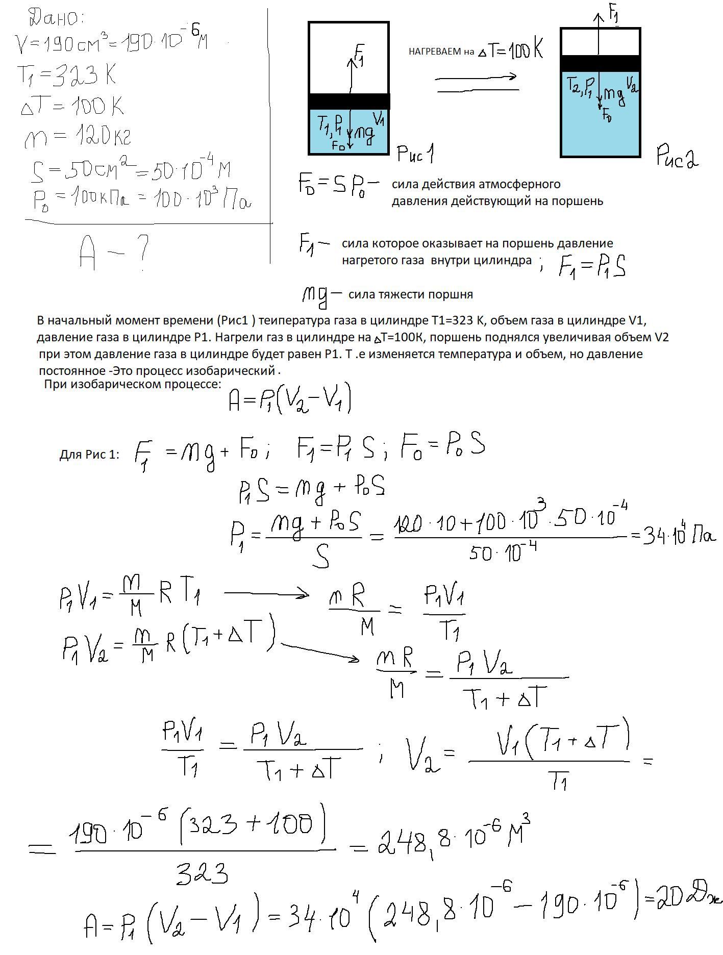
В цилиндре под поршнем находится 3 г