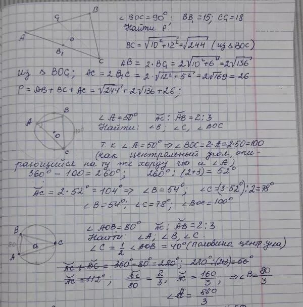
В треугольнике abc aa1 bb1 медианы