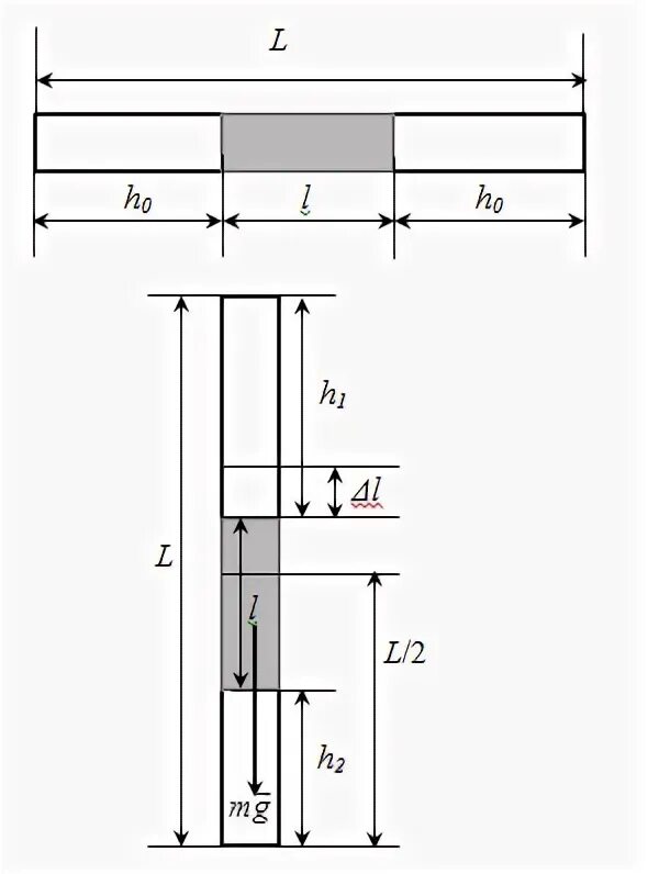
В стеклянной трубке расположенной горизонтально