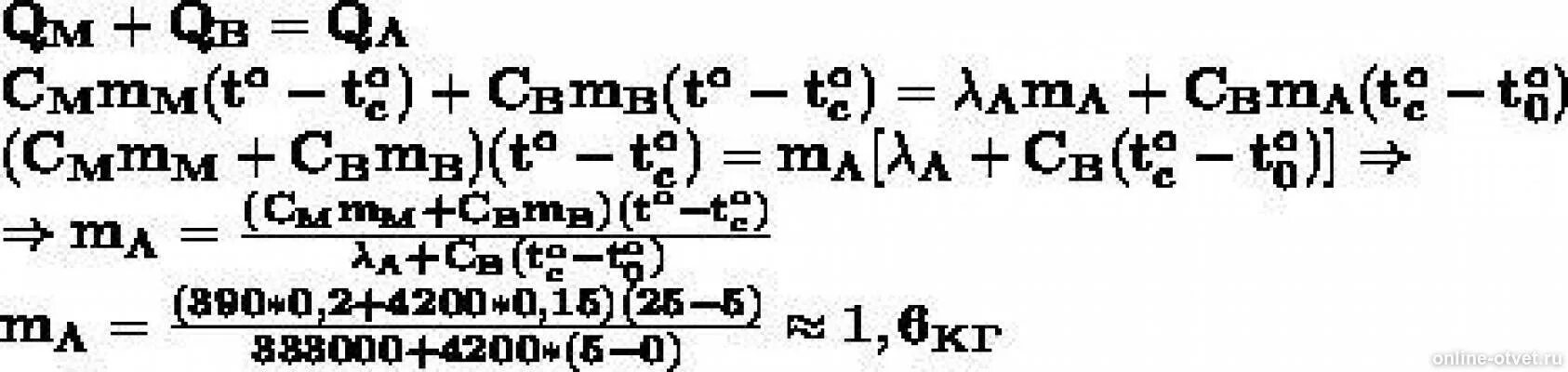
В стакан содержащий 200 г