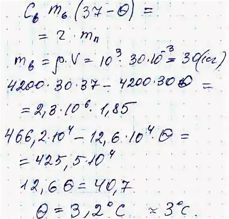
В сосуд содержащий 7 литров 30