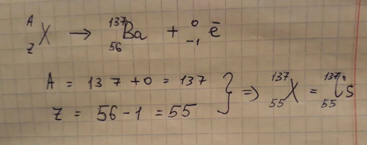
В результате распада получился изотоп