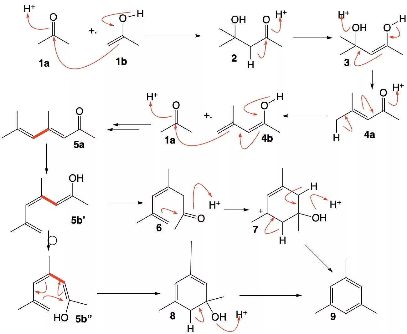
В одну стадию получить ацетон