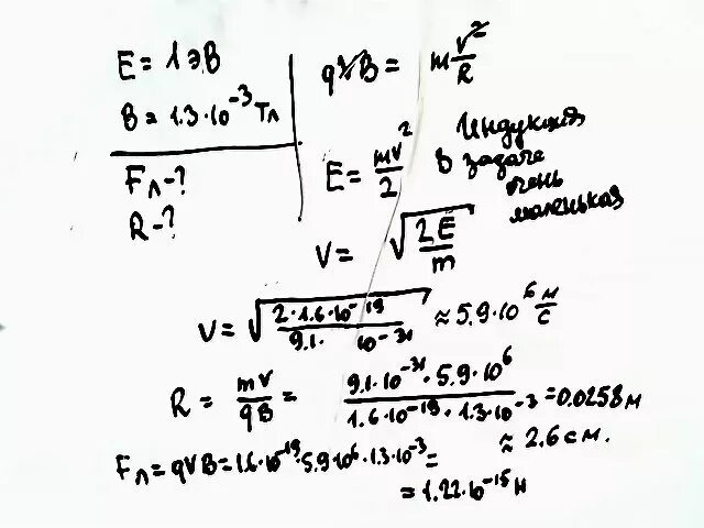
В направление перпендикулярном линиям индукции