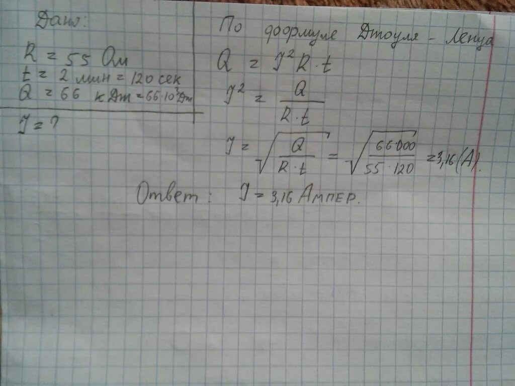
В нагревательном элементе сопротивление 40 ом