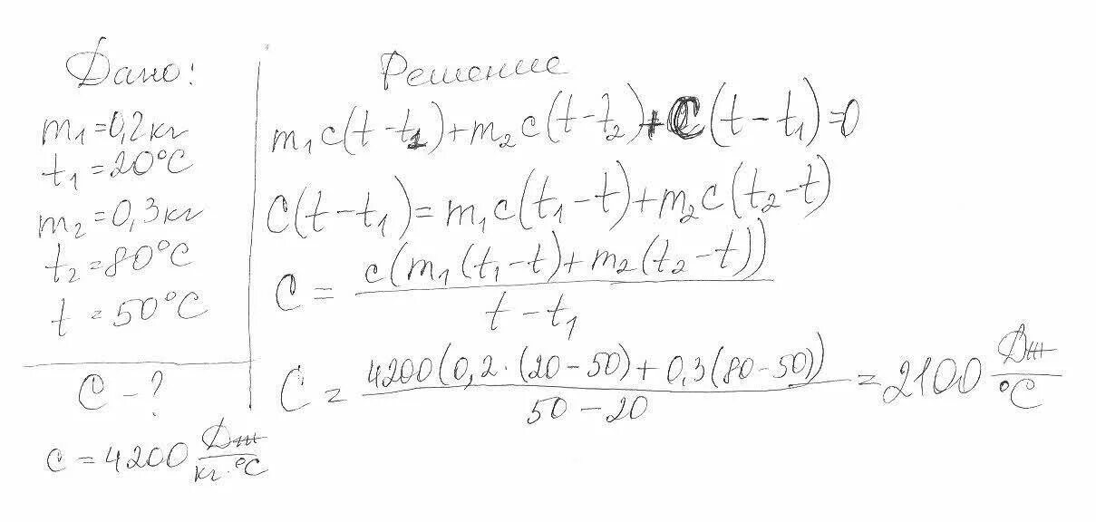
В калориметре находится вода массой 1 2