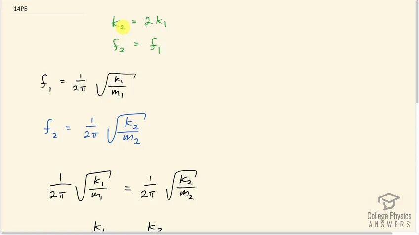
В if the