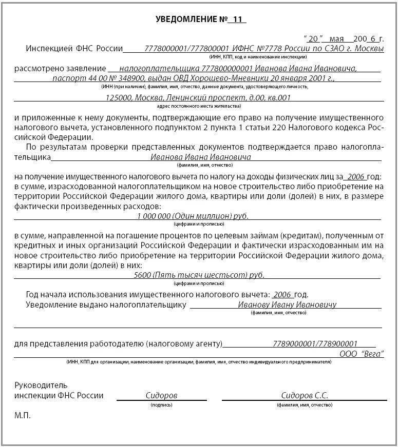
Уведомление на вычет у работодателя