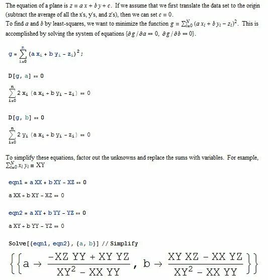
Уравнения в питоне программа