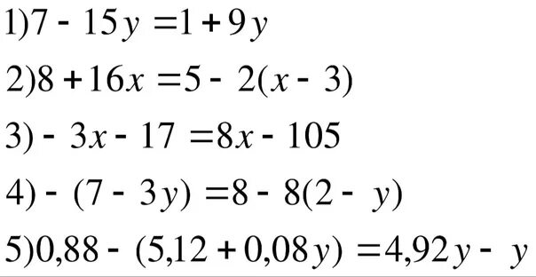
Уравнения со скобками 6 класс