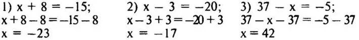
Уравнения 6 класс отрицательные и положительные числа