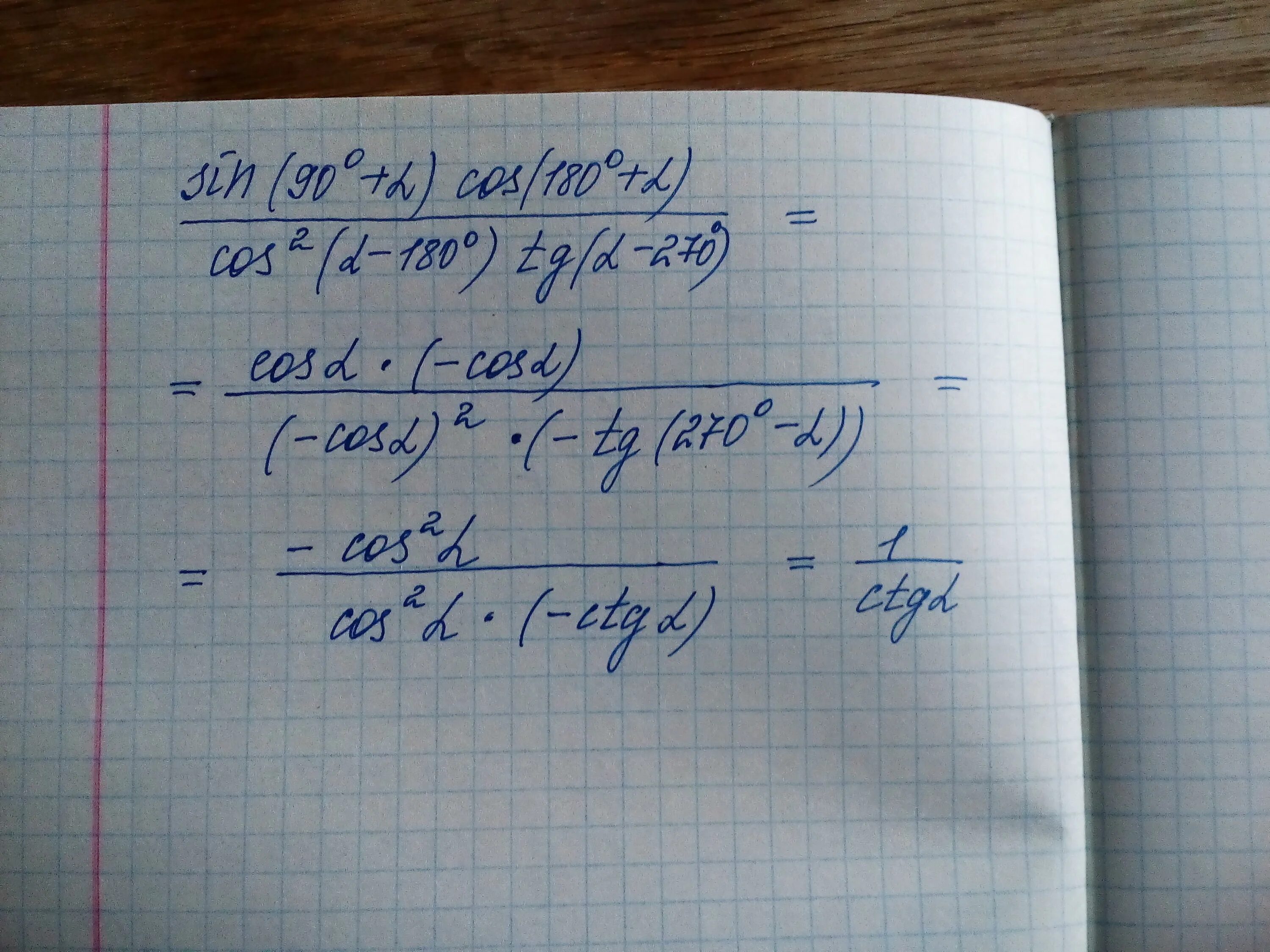
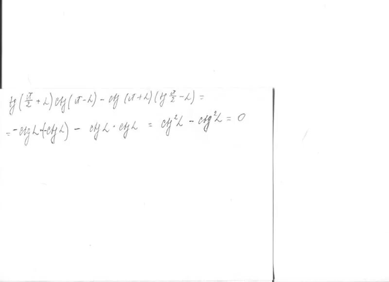
Упростите выражение tg