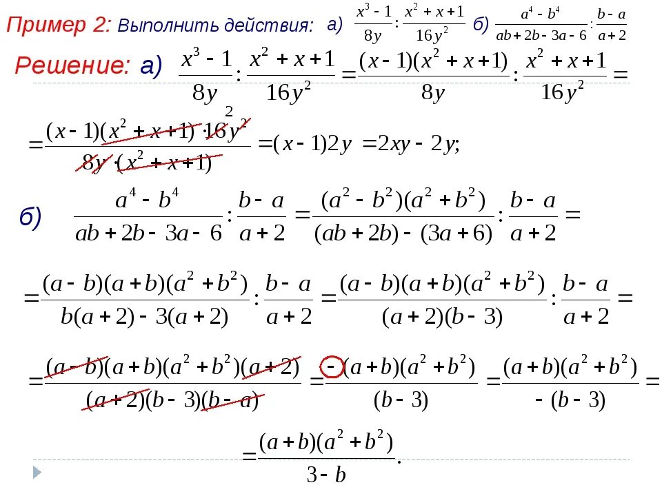
Упростите выражение с дробями и степенями