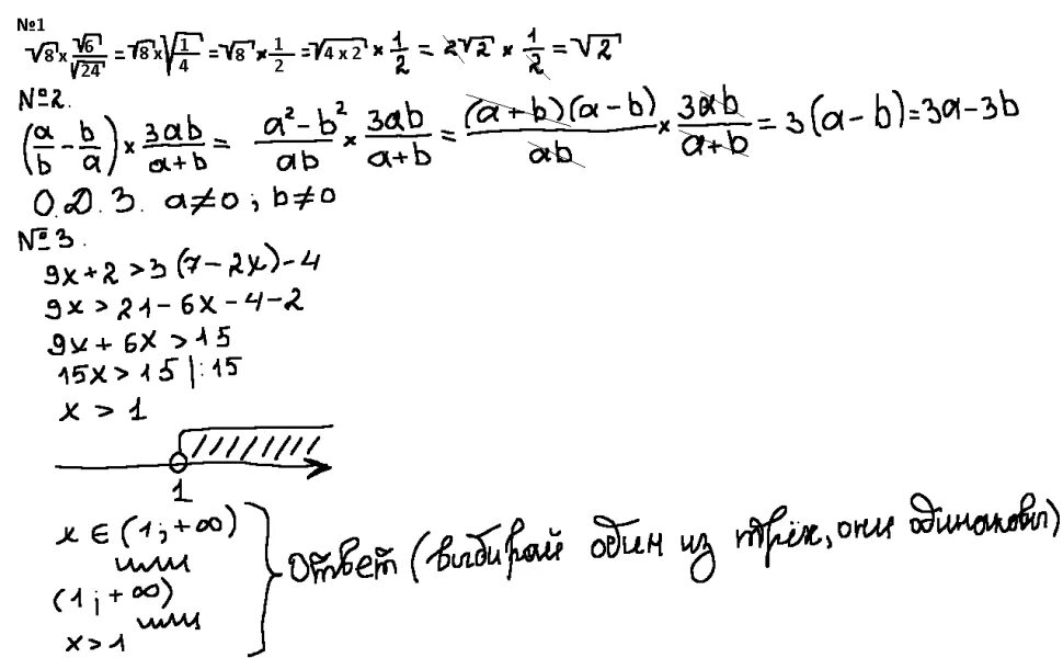
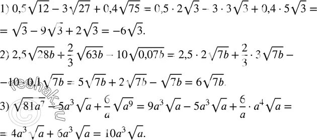
Упростите выражение корень 6 корень 5