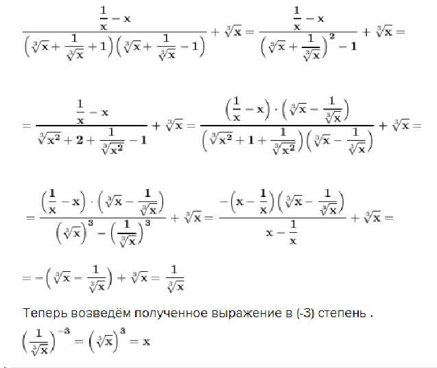
Упростите выражение frac 3 sqrt 3