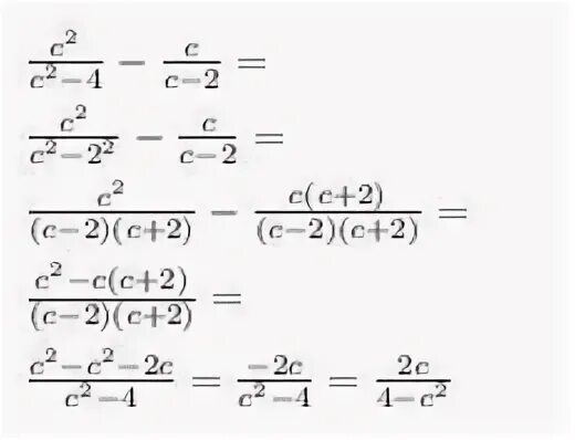
Упростите выражение c b c b 5c