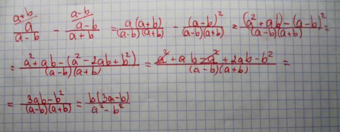
Упростите выражение b 1 b2 b2