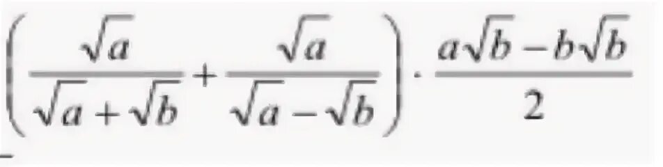
Упростите выражение а 15 баллов