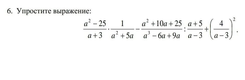
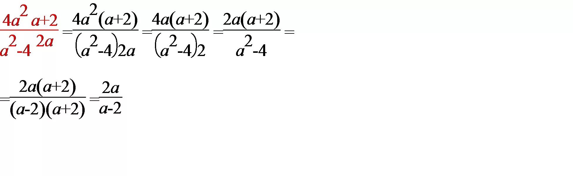
Упростите выражение 8a 4 3a 2