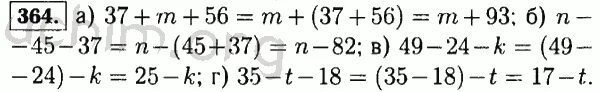
Упростите выражение 5n 5n 5n 5n