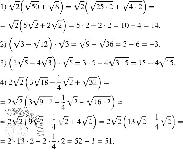
Упростите выражение 2корень2 корень50 корень98