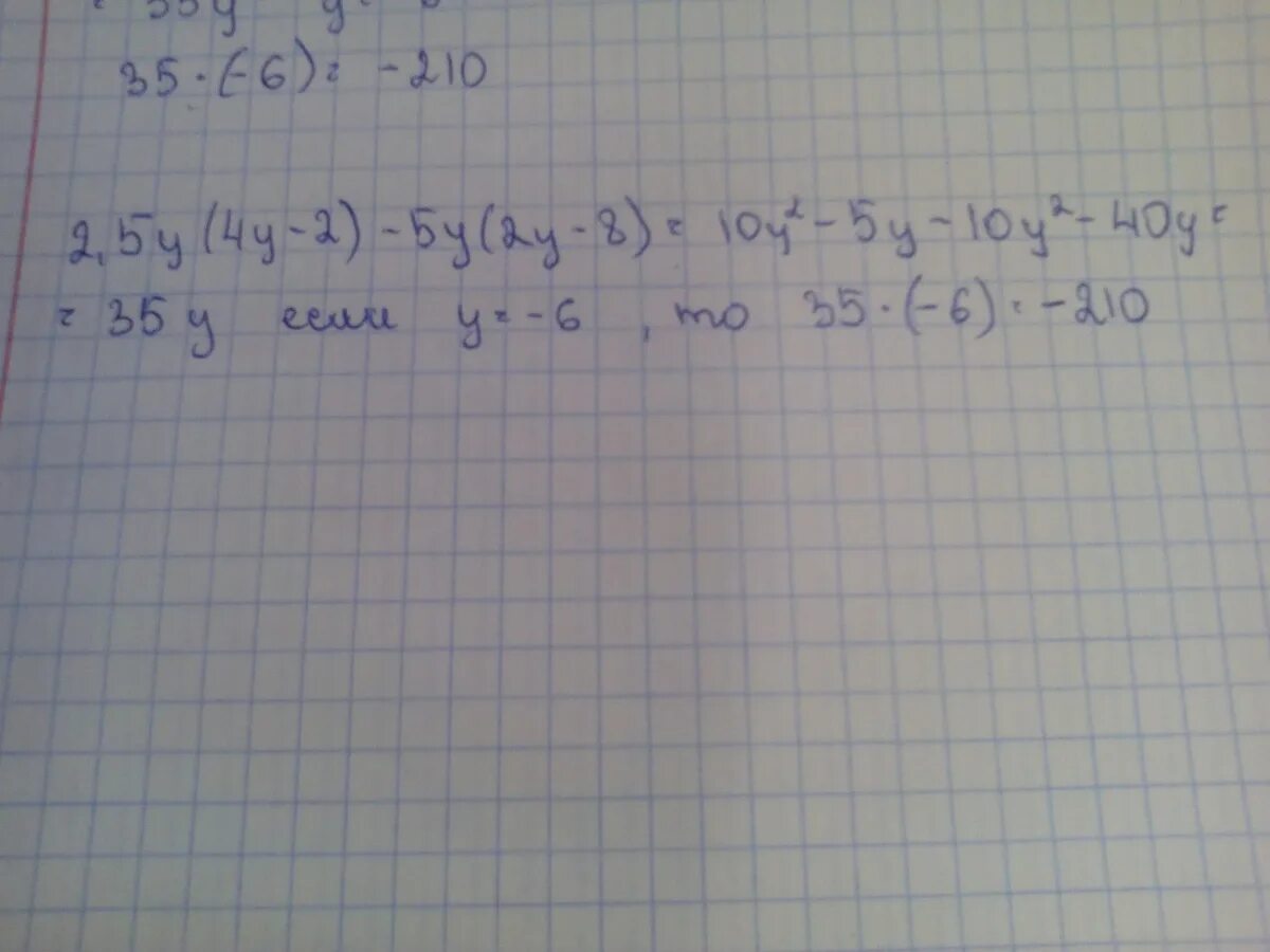
Упростите выражение 2 у у2 3