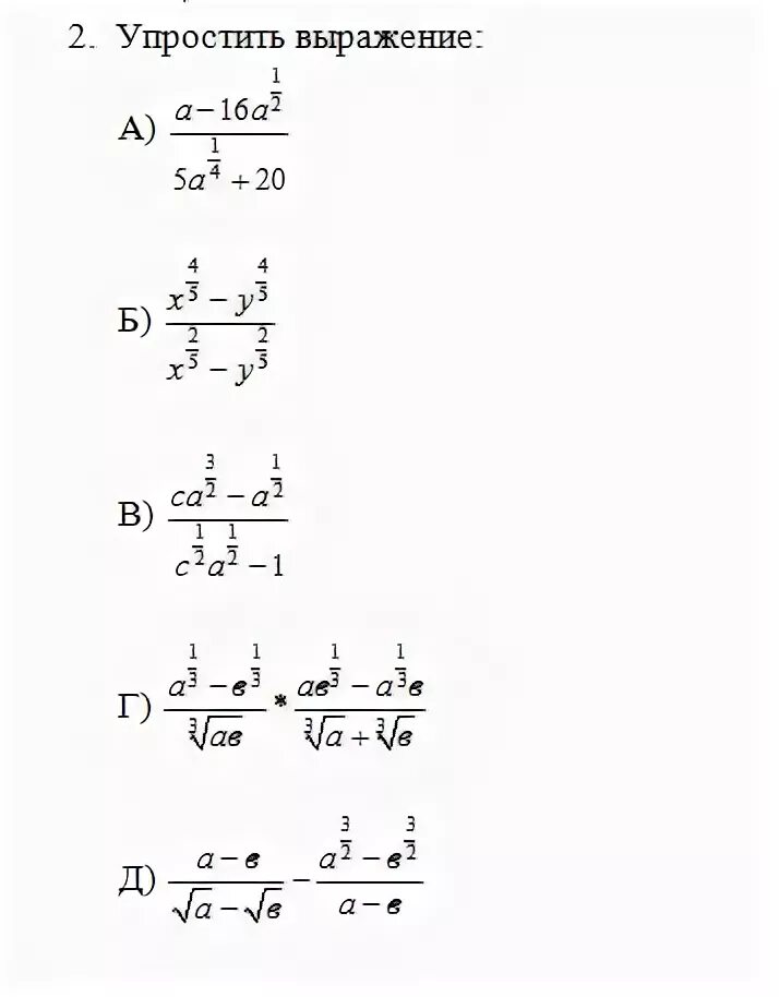
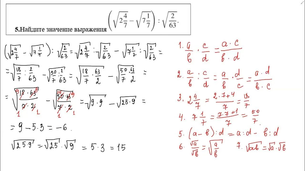
Упростите числовое иррациональное выражение