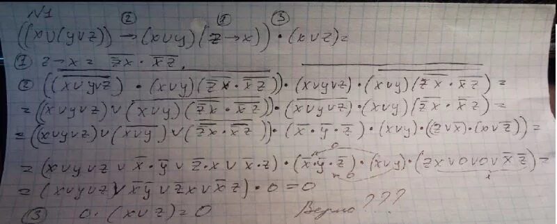
Упростить с помощью равносильных преобразований