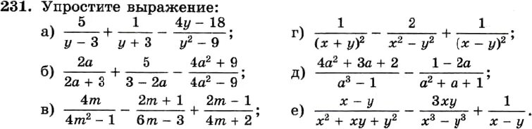
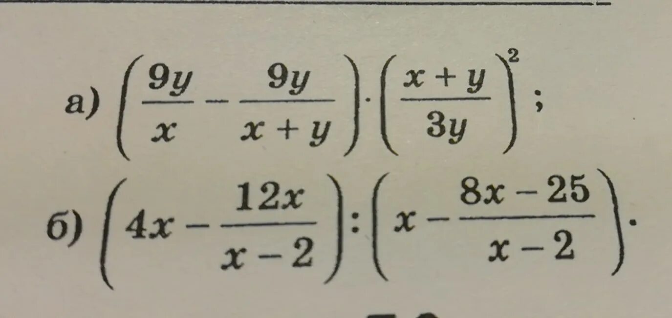
Упрощение 8 класс алгебра