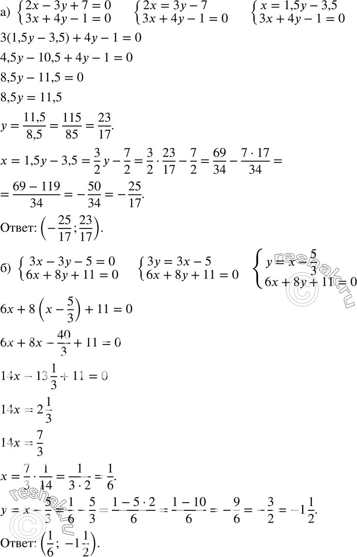
Упр 699 алгебра