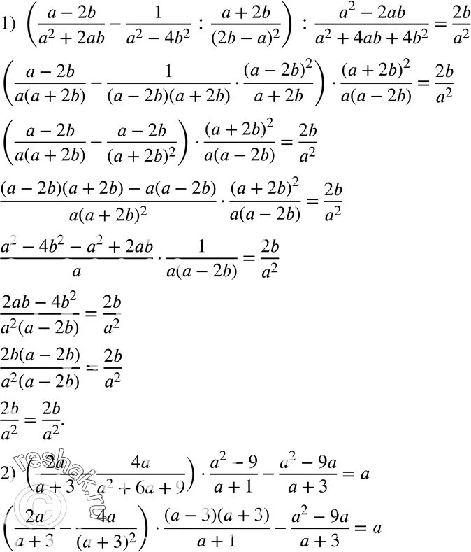
Упр 612 6 класс