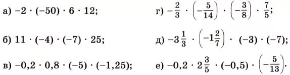
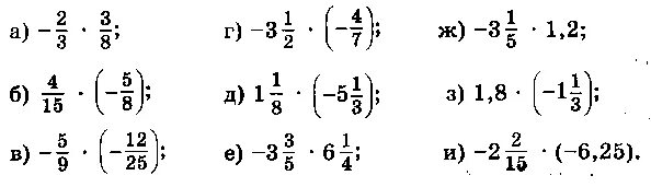
Умножение отрицательных чисел 6 класс виленкин