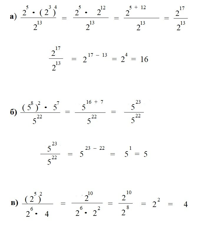
Умножение и деление степеней 7 класс макарычев