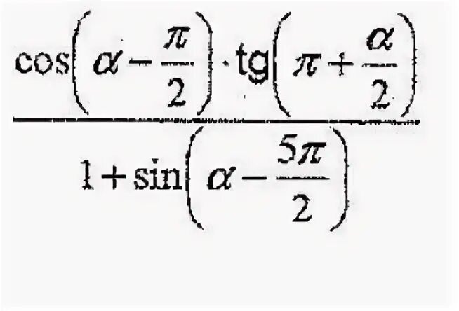
Уменьшить выражение