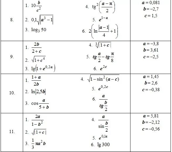
Укажите выражение значение которого наименьшее