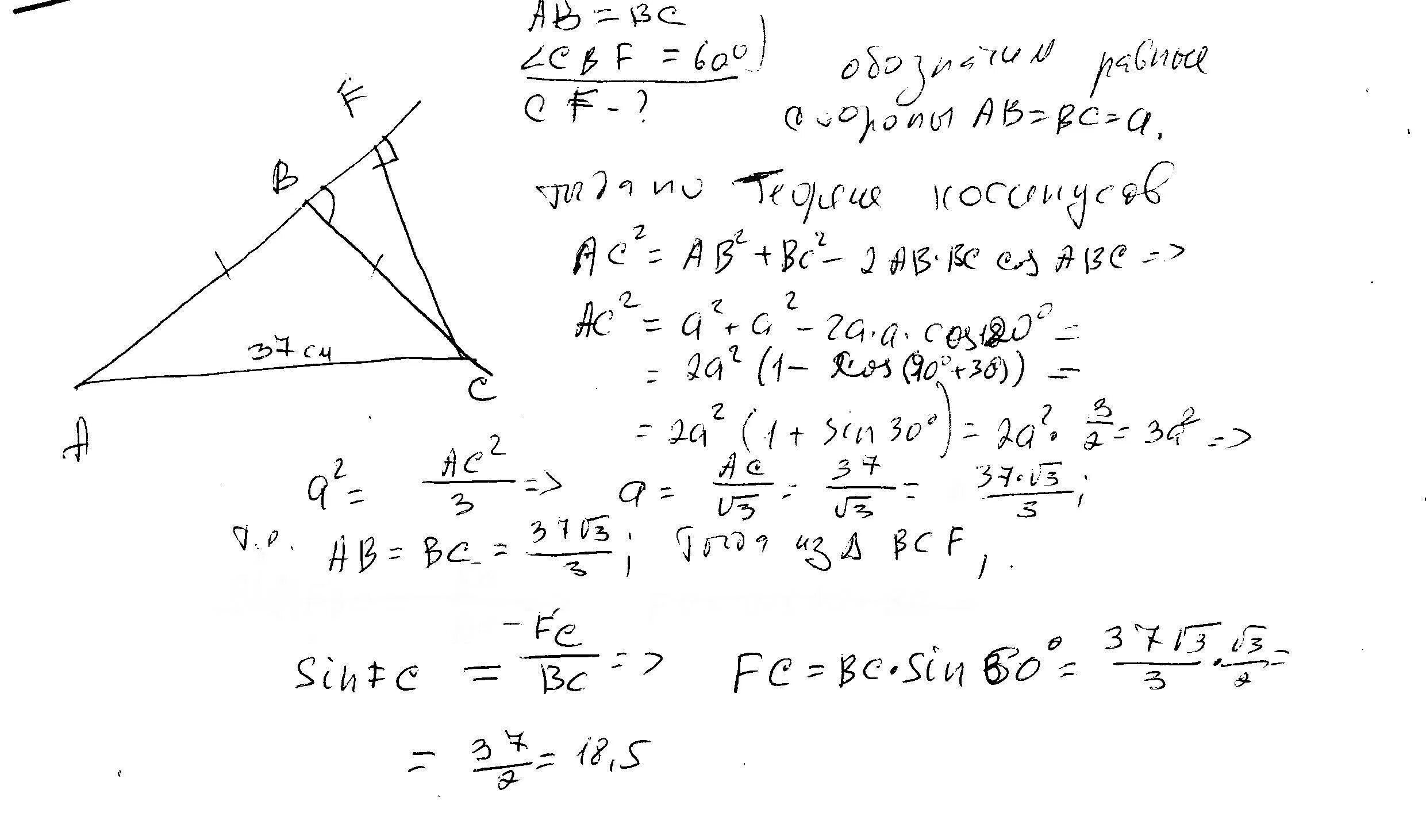
Угол при основании равнобедренного треугольника равен 37