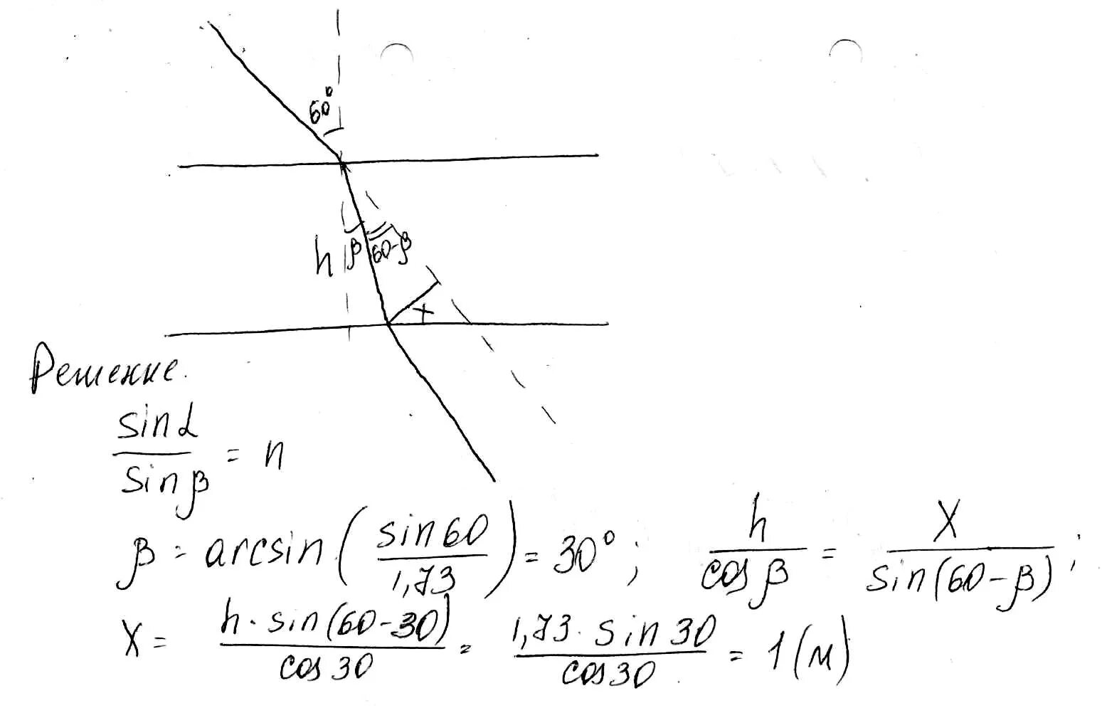
Угол падения светового луча на плоскопараллельную стеклянную