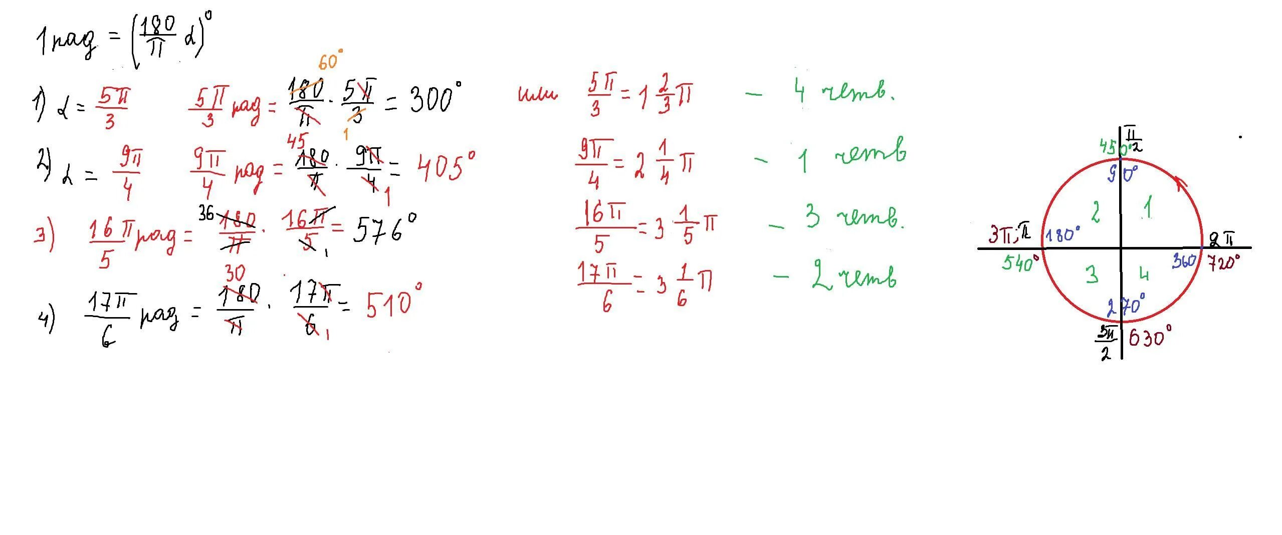
Углом какой четверти является угол а 410