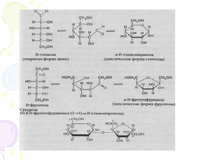
Углеводом является вещество формула которого