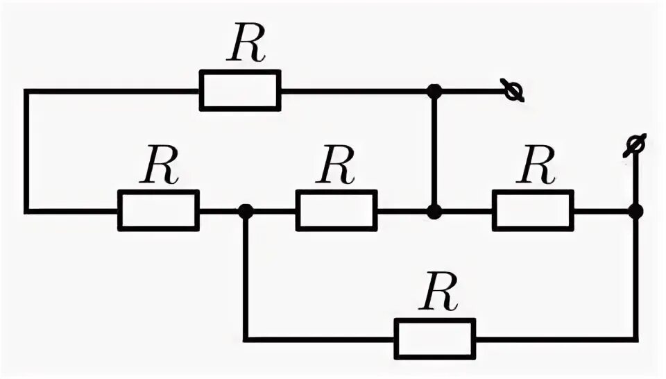
Участок цепи схема которого изображена на рисунке