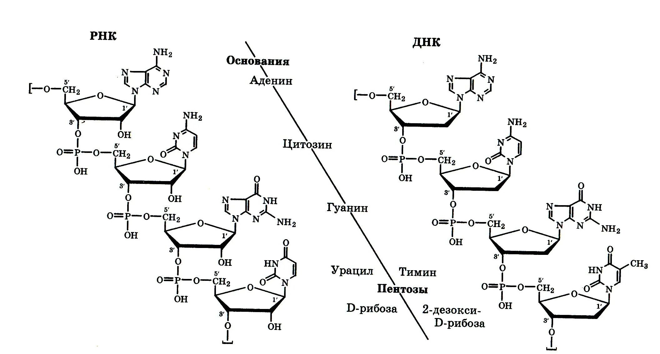
Участок цепи днк