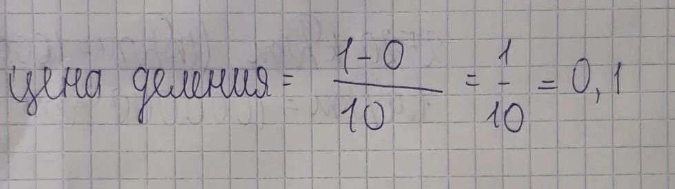
У марины стал быстро разряжаться