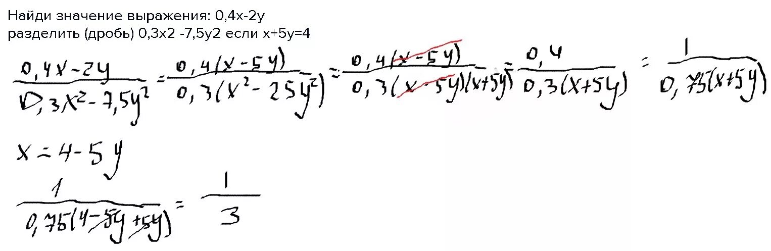
У х 4 0 выразить х